Ricordiamo che le cosiddette combinazioni di n elementi k a k sono i sottoinsiemi di k elementi di un insieme di n elementi. Sono in quantità pari al numero delle sequenze di k elementi che posso formare diviso per il numero dei modi in cui posso ordinare queste sequenze, cioè:
n sequenze di k elementi n·(n-1)· ·(n-k+1) = n permutazioni di una sequenza k·(k-1)· ·1 |
n n-1 n-k+1
= ··
·
k k-1 1 |
| [il rapporto tra il prodotto dei primi k numeri interi positivi a scalare da n e il prodotto di quelli a scalare da k] |
| Questa quantità è indicata in vari modi: C(n,k), choose(n,k), |
| , |
I valori C(n,k) sono calcolabili anche utlizzando il cosiddetto triangolo di Pascal (già noto 5 secoli prima di Pascal!), che richiamiamo usando WolframAlpha:

Sia dalla definzione che dalla precedente rappresentazione triangolare abbiamo che per calcolare
I valori di C(n,k) posso calcolarli automaticamente in molti modi. Vediamo ad esempio il calcolo di C(52,5) e di C(100,40). Con lo script coef binom ottengo:

Il secondo è un valore molto grande, che per tutti gli scopi pratici posso arrotondare, ad es., a 1.3476·1028.
Se mi interessassero tutte le cifre potrei usare WolframAlpha:
C(100,40) =
13746234145802811501267369720 = 1.374623414580281150126736972·1028
Come si vede lo script visualizza 17 cifre del valore, con le ultime 2 incerte a causa degli arrotondamenti. Potremmo usare direttamente lo script calcolatrice2, con cui potremmo effettuare automaticamente gli arrotondamenti (qui abbiamo arrotondato alla 14ª cifra prima del punto decimale: 13746234145802800000000000000)

Veniamo ai quesiti proposti.
• Quante sono le possibili mani di poker?
Ovvero, quanti sono i possibili insiemi di cinque carte che posso ricevere da un mazzo di 52 carte?
52 scelte possibili per la prima carta, 51 per la seconda,
, 48 scelte per la quinta. In tutto 52·51·50·49·48 modi di pescare le 5 carte. Ma non importa l'ordine con cui le pesco.
Gli ordini possibili sono 5·4·3·2. Quindi il numero di possibili di mani è:
(52·51·50·49·48) / (5·4·3·2) = 52·51·5·49·4
=
Ritroviamo il valore C(52,5) trovato prima.
• Un biologo deve fare un esperimento su 60 topi, scelti tra i 100 di cui dispone. In quanti modi può effettuare la scelta?
C(100,60) = C(100,40) = 100/40*99/39/*...61/1. Facendo i calcoli col computer, come visto prima, troviamo
1.374623·1028, ossia circa 1.4·1028.
Un numero enorme!
• x(0) = 1, x(n+1) = (y(n) + A/x(n)) / 2, x(n) → ?
Studiamo sperimentalmente, con A = 16, il limite di questa successione definita ricorsivamente; potremmo usare opportunamente la stessa calcolatrice, ma è molto più semplice usare un programmino, come questo realizzato in JavaScript:
A=16; x=1; for(n=0; n<=10; n=n+1) { document.write(x,", "); x=(x+A/x)/2 }
Output:
1, 8.5, 5.1911764705882355, 4.136664722546242, 4.002257524798522, 4.000000636692939, 4.000000000000051, 4, 4, 4, 4,
Proviamo con A = 0.25:
A=0.25; x=1; for(n=0; n<=10; n=n+1) { document.write(x,", "); x=(x+A/x)/2 }
Output:
1, 0.625, 0.5125, 0.5001524390243902, 0.5000000232305737, 0.5000000000000006, 0.5, 0.5, 0.5, 0.5, 0.5,
Si intuisce facilmente che il limite esista e sia √A. A questi punto studiamo la cosa teoricamente. Se il limite fosse L avremmo:
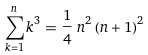
• Verifica col computer che per n intero positivo 1³ + 2³ + 3³ + + n³ = (n·(n+1) / 2)²
Con un programmino in JavaScript:
N=10; S=0; for(n=1; n<=N; n=n+1) { S=S+n*n*n
document.write(n,", ",S,", ",Math.pow(n*(n+1)/2,2),"<br>") }
Output:
1, 1, 1
2, 9, 9
3, 36, 36
4, 100, 100
5, 225, 225
...
10, 3025, 3025
Posso verificare la cosa con WolframAlpha: | ![]() |
Un altro esempio:
• Studia la convergenza della successione x(0) = A, x(n+1) = √x(n)
Studiamo sperimentalmente, con ad es. A = 7, il limite della successione:
x=7; for(n=0;n<90;n=n+1) {x=Math.sqrt(x); document.write(x,", ") }
Output:
2.6457513110645907, 1.6265765616977859, 1.2753731068584542, 1.1293241814724655, ..., 1.0000000000000002, 1, 1, ...
Anche usando un qualsiasi altro numero positivo al posto di 1 si ottiene la convegergenza ad 1.