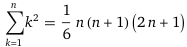
Verifica col computer che per n intero positivo 1² + 2² + 3² + + n² = n·(n+1)·(2·n+1)/6.
Un modo molto semplice è usare una calcolatrice, ad es. la calcolatrice online "calcolatrice2" presente qui. Impiegando il tasto [N] posso generare sequenze qualunque di numeri naturali, con [data^Q] (Q = 2) posso elevarli al quadrato, con [sum] posso farne la somma. Ad esempio se n = 12 metto 12 nel riquadro sopra [N] e premo questo tasto; poi metto 2 in Q e premo [data^Q], in modo da ottenere da ottenere i primi 12 interi positivi elevati al quadrato; poi copio questa sequenza di numeri sopra a [N] e premo [sum] ottenendone la somma, 650. Lo stesso risultato lo ottengo calcolando 12·(12+1)·(2·12+1)/6.

Analogamente, ad esempio per n = 30, ottengo: 1+4+9+...+841+900 = 9455; 30*(30+1)*(2*30+1) = 9455
Ovviamente potrei ricorrere al software online WolframAlpha introducendo 1^2+2^2+3^2+ ... +n^2
