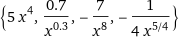
Determina:   Dx (x5)     Dx (x0.7)     Dx (x-7)     Dx (1/x1/4).

5 x4     0.7 / x0.3     −7 / x8     −1 / (4 x5/4 )

Per altri commenti: Derivata neGli Oggetti Matematici

Verifica col software on line WolframAlpha:
d/dx x^5, d/dx x^0.7, d/dx x^-7, d/dx 1/x^(1/4)