Per determinare la capacità termica di un solido usando un metodo basato sulle frequenze di vibrazione del cristallo
(vedi) si deve calcolare
|
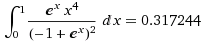
Prima di fare calcoli mi conviene tracciare il grafico della funzione, prolungandola per continuità in 0
(per Dal grafico capisco che l'area compresa tra l'asse x, il grafico e la retta x = 1 è leggermente inferiore a quella di un triangolo di base 1 e altezza 0.8, ossia a 0.4. Ora facciamo i calcoli. Usiamo JavaScript: |
![]() |
function F(x) { return Math.pow(x,4)*Math.exp(x)/Math.pow(Math.exp(x)-1,2) }
a = 0; b = 1
n=4321
for(i = 0; i < 5; i = i+1) {
s=0; h=(b-a)/n; for (var j=0; j < n; j=j+1) {s = s + F(a+(j+1/2)*h)}
document.write(n, " rettangoli, integrale su [a,b] di F = ", s*h,"<br>"); n=n*2 }
Ottengo:
4321 rettangoli, integrale su [a,b] di F = 0.31724404146209634 8642 rettangoli, integrale su [a,b] di F = 0.3172440442913445 17284 rettangoli, integrale su [a,b] di F = 0.31724404499865655 34568 rettangoli, integrale su [a,b] di F = 0.31724404517548394 69136 rettangoli, integrale su [a,b] di F = 0.3172440452196912
Posso conludere che
Ovvero posso usare WolframAlpha:
integrate x^4*exp(x)/(exp(x)-1)^2 for x from 0 to 1

Il grafico è stato fatto con questo script.