Date le matrici a lato, determinare, se è possibile, A+B, A−B, 3A, A×B, A−1, B−1.   
A =  ( 6   9)       B =  (  1   2)
4  −6 −1  0

Prova a fare tutti i calcoli "a mano". Poi controllali con quelli ottenibili con WolframAlpha.


 
{{6,9},{4,-6}}+{{1,2},{-1,0}}    

{{6,9},{4,-6}}-{{1,2},{-1,0}}    

3 {{6,9},{4,-6}}    

{{6,9},{4,-6}} . {{1,2},{-1,0}}    

{{6,9},{4,-6}} ^ -1    

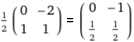
{{1,2},{-1,0}} ^ -1    

Verifichiamo:
{{6,9},{4,-6}} . {{1/12,1/8},{1/18,-1/12}}    

{{1,2},{-1,0}} . {{0,-1},{1/2,1/2}}