Alla voce
integrale
abbiamo visto
se f è una funzione continua in [a, b] o è ivi limitata e discontinua in al più un
numero finito di punti, allora esiste
Se inoltre f è periodica abbiamo visto che,
se T è il periodo ed I e J sono due intervalli ampi T, allora
Si è poi visto che
se f e g sono integrabili su
Abbiamo, poi, posto
Infine abbiamo considerato la
formula
se f
è continua in
Essa semplifica notevolmente il lavoro in molti casi:
∫ [1, 3] 1/t dt = ?
Dx log(x) = 1/x;
Abbiamo, infine, introdotto
∫ f(x) dx per indicare un generico termine
Qualche volta scriviamo
in qualche caso si usano "+ c1",
"+ c2",
per intervalli diversi).
Ad esempio per trovare ∫ (ex + x−2 + x + 3) dx cerco f tale che df / dx = ex + x−2 + x + 3. Quindi va bene f(x) = ex − x−1 + x2/2 + 3x e, più in generale, f(x) = ex − x−1 + x2/2 + 3x + c al variare di c in IR.
Ricordiamo che con WolframAlpha si possono calcolare, in molti casi, gli integrali definiti e indefiniti:



Abbiamo, poi, visto che, mentre
se integro una funzione polinomiale ottengo ancora una funzione polinomiale
( ad es. se
non siamo sempre in grado di esprimerne mediante una formula analoga la funzione integrale.
Ad es. di fronte a
In questa voce vedremo alcuni "trucchi", alcuni più significativi altri meno
(e, comunque, ormai incorporati in vari tipi di software), per trovare, in molti casi, l'integrale di una funzione data.
Questo "trucco" si basa su una riscrittura della regola della derivazione del prodotto
(
propr. f. cont. e derivabili):
Un esempio:
∫ x ex dx
Idea: è il prodotto di due termini, x ed ex, dei quali
il primo ha una derivata più semplice
∫ x ex dx = ∫ x Dx(ex) dx =
x ex − ∫ Dx(x) ex dx =
x ex − ∫ ex dx =
x ex − ex (+ c)
Posso controllare l'esito con WolframAlpha: integral x*exp(x) dx → exp(x)·(x-1) ( + c)
∫ x² ex dx Dx(x²) = 2x, quindi
∫ x² ex dx = ∫ x² Dx(ex) dx = x² ex - ∫ 2x ex dx
= (↑) x² ex - 2(x ex − ex) =
ex·(x²-2x+2)
Con WolframAlpha: integral x^2·exp(x) dx → exp(x)·(x^2-2x+2) ( + c)
A volte è utile il trucco di immaginare la presenza di un fattore "·1"
da interpretare come D(f):
∫ log(x) dx = ∫ 1·log(x) dx = ∫ Dx(x)·log(x) dx =
Con WolframAlpha: integral log(x) dx → x (log(x) - 1) ( + c)
Con WolframAlpha potrei tracciare anche il grafico dell'integranda e dell'integrale, ma ...

... occorre stare attenti: in questo caso si ottiene anche il grafico dove la funzione non è definita. Il motivo
è che il software opera in un ambiente più grande di quello dell'insieme dei numeri reali (nell'ambiente dei
numeri complessi): occorre controllare il grafico ottenuto ed eventualmente non considerare le parti in cui le funzioni coinvolte non sono definite. In questo caso occorre escludere la parte a sinistra dell'asse y
(nei grafici appare "Re(...)" che sta a indicare la "parte reale", nel senso che le funzioni hanno anche una componente "complessa",
che a noi comunque non interessa).
Altre volte è utile il trucco di usare l'integrazione per parti per
esprimere l'integrale in funzione di sé stesso, e quindi risolvere
l'equazione ottenuta:
∫ log(x)/x dx = ∫ 1/x·log(x) dx = ∫ Dx(log(x))·log(x) dx =
da cui 2 ∫ log(x)/x = log(x)², e quindi
∫ log(x)/x dx = log(x)²/2
Con WolframAlpha: integral log(x)/x dx →
(log^2(x))/2 ( + c)
In alcuni casi è necessario intergrare per parti più volte:
∫ excos(x) dx =
∫ Dx(ex) cos(x) dx = excos(x) − ∫ exsin(x) dx
In modo analogo
∫ exsin(x) dx = ∫ Dx(ex) sin(x) dx = exsin(x) −
∫ excos(x) dx
Quindi
2 ∫ excos(x) dx = excos(x) + exsin(x) (+ c)
da cui
( verifica: Dx (ex (cos(x)+sin(x))/2) = ... = ex cos(x)
Con WolframAlpha: integral exp(x) cos(x) dx → 1/2 e^x (sin(x) + cos(x)) ( + c)
Ecco un esempio di integrazione per parti di un integrale definito:
∫ [0, 1] arctan(x) dx
Osserviamo, innanzi tutto, che la funzione integranda è definita e continua
su tutto IR e, quindi, su
Con WolframAlpha: integral arctan(x) dx x=0..1 → 1/4 (π-log(4)) ≈ 0.43882 [log(4) = 2 log(2)].
Esercizi: testo01 e soluzione, testo02 e soluzione, testo03 e soluzione, testo04 e soluzione
Questo è il più importante metodo di integrazione. Esso si basa sulla
regola della
derivazione delle funzioni composte.
Partiamo da un esempio abbastanza semplice.
•
∫ sin(3x) dx posso affrontarlo con la sostituzione t = 3x, da cui cui dt/dx = 3, dx = dt/3:
∫ sin(3x) dx = 1/3 · ∫ sin(t) dt = -cos(t)/3 = -cos(3x)/3 (+c)
Con WolframAlpha: integral sin(3 x) dx = -1/3 cos(3 x) (+c)
•
∫ 2x(x2−1)4 dx
posso affrontarlo con la sostituzione u = x²−1, du/dx = 2, du = 2x dx:
∫ 2x(x2−1)4 dx = ∫ u4 du = u5/5 = (x2−1)5/5 (+c)
Posso controllare con WolframAlpha digitando integral 2*x*(x^2-1)^4 dx
• ∫ tan(x) dx Proviamo a risolverlo con WolfamAlpha. Otteniamo:

Ma -log(cos(x)) è definito solo quando cos(x)>0 e del resto il grafico
che mostra che il software è definito ovunque

Qualcosa di analogo accade per ∫ 1/x dx, come già visto (
integrale)

Torniamo a ∫ tan(x) dx.

•
∫ x √(x−3) dx
In questo caso non è evidente se procedendo per sostituzione si riesce a calcolare l'integrale. Proviamo.
Pongo u = x−3. du = dx, x = u+3.
• ∫ (1+ex)/(1−ex) dx Ci conviene tracciare prima il grafico della integranda:

Procediamo. La presenza preponderante di ex mi suggerisce la sostituzione u = ex, ossia x = log(u).
dx = 1/u du; allora ottengo: ∫(1+u)/(1-u) 1/u du
A questo punto cerco di sbarazzarmi del rapporto tra polinomi di grado 1:
(1+u)/(1−u) 1/u = (1−u+u+u)/(1−u) 1/u
=
∫(1+u)/(1−u) 1/u du = log(u) − 2 log(1−u)
∫(1+ex)/(1−ex) dx
=
Se provassi a fare il calcolo con WolframAlpha otterrei:

Entrambe le funzioni
sono soluzioni del nostro integrale: una lo è a sinistra di 0, l'altra
a destra. Sia il procedimento "manuale" che quello al computer hanno trascurato
dei casi. Il tracciamento del grafico della funzione e delle soluzioni
(o l'immaginarli) ci è di aiuto per capire la situazione, e che le soluzioni
sono:
x − 2 log(1−ex) (+c1)
Questo è
un problema tipico in cui affidandosi al solo calcolo è facile commettere errori
(qui l'errore è stato
non tener conto che
integrale).
• Ecco un esempio di integrazione per sostituzione di un integrale definito:
∫ [0, 2] x ex2dx
Prima calcoliamo l'integrale indefinito. Poniamo
∫ [0, 2] x ex2dx =
Questo secondo metodo funziona quando

• Ricordiamo, infine, che
se l'integranda è una funzione razionale di sin e/o di cos può essere comoda
la sostituzione t =
∫ 1/(2+cos(x)) dx = (*)
t = tan(x/2), cos(x) = (1−t2)/(1+t2), dx = 2dt/(1+t2)
∫ 2dt/(1+t2) / ((3+t2)/(1+t2)) =
2 ∫ 1/(3+t2) dt = 2/√3 atan(t/√3)

Occorre, però, stare attenti al dominio (come anche in altri casi di integrazione). Nel nostro caso
la soluzione proposta
(
Esercizi:
testo05 e sol.
testo06 e sol.
testo07 e sol.
testo08 e sol.
testo09 e sol.
testo10 e sol.
testo11 e sol.
testo12 e sol.
Approfondimenti. Integrazione per sostituzione trigonometrica
Esisitono alcuni "trucchi" per calcolare con sostituzione alcuni tipi particolari di integrali, in cui si utilizzano le relazioni tra gli elementi di un triangolo rettangolo (tuttavia, anche in questi casi, esiste del software che esegue automaticamente i calcoli). Facciamo degli esempi, riferendoci alle figure seguenti (che valgono solo per x e θ positivi, ma suggeriscono relazioni che possono valere anche per x e θ negativi).

•
∫ 1/√(9−x2) dx
può essere affrontato (vedi figura a sinistra) pensando a
∫ 3·cos(θ) / (3·cos(θ)) dθ = ∫ 1 dθ = θ
∫ 1/√(9−x2) dx = asin(x/3) (+c)
Sotto il controllo "grafico" con WolframAlpha (i due grafici si sovrappongono):

Sotto anche il grafico dell'integranda (l'integrale da WolframAlpha viene espresso con una formula diversa, ma equivalente):
•
∫ 1 / ( √(x2−4) x2
) dx
può essere affrontato (vedi la figura iniziale al centro) pensando a
|
Quindi
∫ 1 / ( √(x2−4) x2 ) dx = Sotto il grafico ottenuto con questo script. |
•
∫ [−1, 1]
1 / (1+x2)2 dx
è un integrale definito che possiamo affrontare considerando il triangolo rettangolo raffigurato nella figura iniziale a destra:
x = tan(θ), 1/√(1+x2) = cos(θ), dx = 1/cos(θ)2 dθ.
Per x che varia tra −1 e 1 θ varia tra −π/4 e π/4.
∫ [−1, 1] 1 / (1+x2)2 dx
=
Controllo con WolframAlpha:

Esercizio: testo13 e soluzione
Approfondimenti. Integrazione di funzioni razionali
Illustriamo, utilizzando WolframAlpha, i procedimenti che si possono impiegare per integrare le cosiddette funzioni razionali, ossia le funzioni esprimibili come rapporto tra funzioni polinomiali, attraverso un paio di esempi.
| • |
|
Innanzi tutto tracciamo il grafico dell'integranda:
plot (3x^3-2x^2-19x-7) / (x^2-x-6), x = -4..4

L'integranda non è definita in -2 e in 3. Utlizzando il comando compute integral mettendo in input

Questa è l'espressione dell'integrale nell'intervallo centrale, tra -2 e 3 (dove log(x+2) e log(3-x) sono definite.
L'integrale in questo e negli altri intervalli, a meno di costanti additive, è
Se voglio uno schizzo della funzione integrale (a meno delle costanti additive) posso usare il comando

In casi di funzioni come questa, quello che può capitare in qualche applicazione è calcolare degli integrali definiti. Usando compute integral calcoliamo l'integrale tra -1 e 2.5:
|
function to integrate: (3x^3-2x^2-19x-7) / (x^2-x-6) lower limit: -1 upper limit: 2.5 | ![]() |
| • |
|


Usando compute integral:
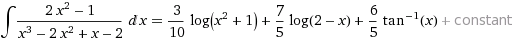
| function to integrate: (2*x^2-1)/(x^3-2*x^2+x-2) | ![]() |
| plot 6/5 tan^(-1)(x) + 7/5 log(|2 - x|) + 3/10 log(1 + x^2), -5 < x < 5 | ![]() |
Si può dimostrare che ogni funzione razionale è integrabile mediante una combinazione lineare di funzioni razionali e di funzioni del tipo log(F(.)) e atn(F(.)) con F polinomio di primo o secondo grado.
Esercizi: testo14 e soluzione, testo15 e soluzione
Esiste vario software che calcola "simbolicamente" gli integrali indefiniti. Però, spesso,
non dà tutte le soluzioni o ne dà alcune che valgono solo per particolari intervalli.
Del resto, problemi analoghi valgono anche per alcuni procedimenti manuali suggeriti da alcuni libri.
Lo studio dei domini, il controllo grafico e/o simbolico di quanto si ottiene sono, dunque, fondamentali.
Osserviamo, infine, che accanto al concetto di integrale considerato qui,
esistono altri concetti di integrazione, che consentono di definire
l'area di altre superfici. Consideriamo, ad esempio, la figura costituita
dal quadrato che ha per lati i segmenti da 0 ad 1
dei due assi e privata dei segmenti costituiti dai punti di ascissa razionale; si può
dimostrare (vedi questi esercizi) che questi
segmenti sono una infinità numerabile, trascurabile rispetto al complesso del quadrato;
l'area di questa figura non può comunque essere calcolata mediante il concetto di
integrale introdotto ( vedi |
![]() |